SOX406脂肪测定仪测定方便面中脂肪含量
1引言
生活节奏的加快导致我们在饮食上的时间也在缩短,使许多快餐行业崛起。方便面就是快餐食品中的一种。方便面,又称泡面、杯面、速食面、即食面等,南方一般称为碗面。方便面以其独特的调料包口味而被光大人们喜欢。而泡面中酱包的脂肪含量很高,这是众所周知的,而面饼中脂肪含量往往被人们忽略。本方案将采用SOX406脂肪测定仪检测方便面面饼中脂肪含量。
2实验部分
2.1实验仪器及试剂
SOX406脂肪测定仪(济南海能仪器股份有限公司);分析天平;鼓风干燥箱;研钵;干燥器;100mL量筒。
实验用水应符合GB/T6682中三级用水的规格,使用试剂除特殊说明外,均为分析纯。
石油醚(60~90℃);滤纸;脱脂棉。
2.2实验步骤
1.仪器准备:请参照说明书,清洗溶剂杯,干燥并称重记为m0。
2.取样:将样品在研钵中研碎;精确称取样品约2g左右(记为m)。
3.酸水解:将称量好样品放入3mol/L的盐酸溶液中,缓慢沸腾1h,至溶液中淀粉水解完全;过滤,并洗涤至中性,烘干,得前处理样品。
4.萃取:将前处理后的样品,放入滤纸筒内,并覆盖上一层脱脂棉;加入抽提溶剂50mL,打开冷凝水,启动脂肪测定仪。设置回流时间2.5h、萃取温度95℃,进行萃取。预干燥15min。
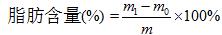
5.计算结果:抽提完成后,烘干溶剂杯至恒重,称重记为m1。
增重法计算脂肪含量:
其中,m1──溶剂杯和粗脂肪质量,g;
m0──溶剂杯质量,g;
m ──试样质量,g;
计算得出实验结果。
3结果分析
由表中数据可知,采用SOX406脂肪测定仪测试的方便面面饼样品中两个平行样数据的重复性符合国标GB/T14772-2008标准,即方便面面饼样品的脂肪含量为15.75%。
4注意事项
注意石油醚的挥发及易燃性,实验过程中应及时注意通风,防止石油醚对人体造成伤害。
